HIV検査は多くの種類がありますが、どの時期に検査を受ければ、信頼できる結果が得られるのかをどのようにして、検証するのか解説してみます。
この検証には、HIVに感染した人の血液が必要となります。
その為に、HIVに感染した血液を感染したときから、順次日にちを変えて採血して、検査をしていきます。
例えば、と採血して検査を実施して、感染後何日目に陽性となるかを調べます。
- 感染時・・・・0日
- 感染後何日・・・・2、3、7、10日以上
感染後何日目に、検査が陽性となるかを調べることにより、その検査法が、感染後何日で受ければ信頼できる検査結果が得られるかを決めることになります。
この検証に使用する血液は、米国やヨーロッパの会社から販売されていますし、WHOも各国の研究機関に提供しています。
この血液は【HIV、BBIパネル】と呼ばれます。
この血液を使用して、検証して、この検査が、不安な行為から何日後に検査を受ければよいかが決められることになります。
![]()
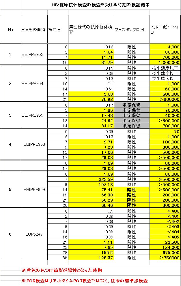
HIV抗原抗体検査の検査を受ける時期の検証結果から、検査を受ける時期を見てみますと、
- No.1・・・・感染後3日
- No.2・・・・感染後17日
- No.3・・・・感染後3日
- No.4・・・・感染7日
- No.5・・・・感染当日
- No.6・・・・感染後21日
となり、最短感染当日(0日)から最長21日となります。 そのことから、第四世代の抗原抗体検査を受ける時期は、余裕を持って『不安な行為から30日』となるわけです。
一方、HIV−PCR検査は、最短感染当日(0日)から10日で陽性となります。 この結果結果から、HIV−PCR検査を受ける時期は、余裕を持って『不安な行為から11日』となるわけです。
現在のリアルタイムPCR検査は、以前のHIV−PCR検査より一段と感度が良くなり、10日前後でも、信頼出来る結果が得られるとされています。知識の窓│新 医学と切手の極意